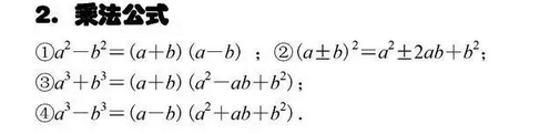
当前位置: 首页 > 教辅资料 > 初中资料 > 初一 > 数学 > 2019初中数学常用公式之乘法公式
新一轮中考复习备考周期正式开始,中考网为各位初三考生整理了中考五大必考学科的知识点,主要是对初中三年各学科知识点的梳理和细化,帮助各位考生理清知识脉络,熟悉答题思路,希望各位考生可以在考试中取得优异成绩!下面是《2019初中数学常用公式之乘法公式》,仅供参考!

上一篇:2019初中数学常用公式之绝对值
下一篇:初中数学学习方法的两大复习策略
相关推荐
一位家长朋友咨询:孩子还是非常努力的,初一一共七门课,除了数学其他...
2025-06-17 17:29:50
后台有不少家长留言:“我的孩子数学学习成绩中上等,本来可达班级前几...
2025-06-17 17:20:37
数学是学习过程中很关键的一个科目,如何才能提高数学成绩呢?金博教育...
2025-06-17 17:06:20
每次考试,最头疼的科目就是数学,其实数学并不难,几个小技巧教你如何...
2025-06-17 17:06:07在
线
咨
询